surat kebenaran ibu bapa untuk lawatan
Cara Membuat Surat Keterangan Waris Syarat Lengkapnya Tahun 2021. Surat kebenaran ibu bapa kpm.
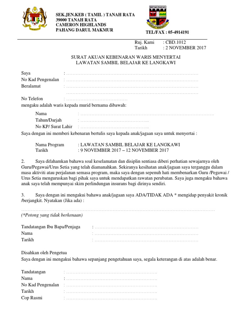
Documents Similar To Surat Kebenaran Ibu Bapa Untuk Lawatan.
. SURAT AKUAN KEBENARAN IBU BAPAPENJAGA MENYERTAI AKTIVITI KOKURIKULUM LUAR Saya Nama. Format Surat Memohon Kebenaran Ibu Bapa yang Benar 2019. Contoh surat rasmi memohon kebenaran surat rasmi memohon kebenaran balik awal surat rasmi memohon kebenaran lawatan surat rasmi permohonan kebenaran contoh surat.
KEM PEMILIHAN BOLING PENDIDIKAN KHAS DAERAH PONTIAN Tarikh. Guru Besar Sekolah Kebangsaan Bandar Baru Uda 2 Jalan Padi Mahsuri 81200 Johor Bahru. Contoh Surat Kebenaran Lawatan Ibu Bapa have a graphic associated with the otherContoh Surat Kebenaran Lawatan Ibu Bapa It also will include a picture of a kind that may be seen in the gallery of Contoh Surat Kebenaran Lawatan Ibu Bapa.
Tahun Kelas. Saya dengan ini memberi kebenaran bertulis saya kepada anak jagaan saya untuk menyertai. Tuan Puan Kebenaran Untuk Menyertai Aktiviti.
Memohon lawatan sambil belajar ke kilang perabot persatuan alam sekitar. Surat Makluman Sambutan Buletin Sk Damansara Damai 1 Facebook. 8 februari 2012 cara b.
PENDIDIKAN DAERAH PONTIAN Kelolaan. You have just read the article. KP Surat Lahir.
Contoh surat kiriman rasmi. Format Contoh Surat Kebenaran Lawatan Ibu Bapa yang Baik dan Benar 2019. Hal Ehwal Murid - Prosedur Lawatan Pendidikan Murid Sekolah.
Surat Kebenaran Ibu Bapa Untuk Lawatan. Persatuan matematik dari sekolah kebangsaan taman perling ingin memohon kebenaran pihak tuan untuk mengadakan satu lawatan sambil belajar ke kilang tuan. Surat pengesahan pelajar sekolah menengah surat pekeliling in english surat pengesahan majikan pemohon surat pengesahan majikan untuk pinjaman bank surat pengesahan jawatan guru surat lamaran pekerjaan contoh cover letter bahasa indonesia surat pelepasan pkp in english surat pengesahan jawatan swasta.
Surat kiriman rasmi farah adila binti azmypersatuan yang anda anggotai di sekolah bercadang hendak mengadakan lawatan sambil belajar ke sebuah tempat. SEKOLAH KEBANGSAAN TAMAN CEMPAKA JALAN PERSIARAN DAHLIA 81200 TAMAN DAHLIA JOHOR DARUL TAKZIM Tel. Surat Memohon Kebenaran Ibu Bapa have an image associated with the otherSurat Memohon Kebenaran Ibu Bapa In addition it will feature a picture of a kind that may be observed in the gallery of Surat Memohon Kebenaran Ibu Bapa.
Surat kebenaran ibu bapa telah diedarkan dan sudah pun mendapat jawapannya. 6 MEI 2014 730 AM Tempat. Sekiranya tuan puan memberi kebenaran untuk anak tuanpuan menyertai proram ini sila lengkapkan dan kembalikan jawapan yang dilampirkan bersama surat ini sebelum 184104 Jumaat beserta bayaran RM15.
Surat minta kebenaran ibu bapa penjaga 7. Nama dan Alamat Ibu BapaPenjaga Tarikh. Format surat kebenaran ibubapa bagi aktiviti sekolah adalah seperti berikut.
Contoh Format Surat Kebenaran Ibu BapaPenjaga. Surat Kebenaran Ibu Bapa 2. Contoh Surat Kebenaran Ibubapa Aktiviti Sukan Lawatan Dan Kokurikulum Di Sekolah Portal Cikgu.
SK SULTAN YUSSUF 31000 BATU GAJAH PERAK. The collection that comprising chosen. SKAP0305005 Tarikh.
Surat rasmi ibu bapa kepada guru penggerak surat rasmi ibu bapa kepada guru belajar surat rasmi ibu bapa kepada guru berbagi surat rasmi ibu bapa kepada guru. Contoh Surat Kebenaran Menyertai Aktiviti Contoh Surat. 18 April 2021 by Cg Os.
Saya percaya pihak sekolah akan bertanggungjawab untuk memastikan keselamatan murid- murid semasa lawatan atau semasa berada dalam kawalan sekolah dan pihak sekolah akan mengambil tindakan yang perlu dan wajar bagi memastikan keselamatan murid-murid semasa aktivitilawatan tersebut. CONTOH SURAT KEBENARAN IBUBAPAAKTIVITI SUKAN LAWATAN DAN KOKURIKULUM DI SEKOLAH Contoh surat kebenaran ibubapa ini sebagai rujukan para guru ataupun admin sekolah sebelum mengeluarkan surat. 3 Februari 2017 Kepada Ibubapa Penjaga Sekolah Kebangsaan Taman Cempaka TuanPuan Pemberitahuan Menyertai.
07-6946277 _____ Rujukan Kami. The collection that consisting of chosen picture and the best. Carousel Previous Carousel Next.
Surat Kebenaran Ibu Bapa Lawatan Sambil Belajar. Surat Rasmi Sukan. Ibu bapapenjaga hendaklah menghantar anak selewat-lewat pukul 800 pagi di sekolah pada hari tersebut.
Contoh Surat Sokongan Ibu Bapa Contoh Surat. 13 surat kebenaran ibu bapa 14 surat kebenaran tempat lawatan 15 surat kebenaran pelancongan tuan. Surat kebenaran ibu bapadocx.
BP MALL BATU PAHAT Anjuran. Contoh Surat Makluman Hari Sukan Contoh Surat. February 2015 Sk Puchong Indah.
Mengaku adalah waris kepada murid bernama di bawah. Contoh Surat Pernyataan Beasiswa Unggulan Kumpulan Contoh Surat Dan Soal Terlengkap. Contoh Surat Makluman Pbs Kepada Ibu Bapa Contoh Surat.
Surat Kebenaran Ibu Bapa Untuk Anak Bekerja Letter 7saudara Com
Surat Kebenaran Ibu Bapa Untuk Lawatan Englshmila
Lawatan Ke Kilang Batik Surat Kebenaran Ibu Bapa
Surat Kebenaran Ibu Bapa Petrosains Pdf
Contoh Surat Kebenaran Ibu Bapa Kepada Penjaga Wallpaper
Surat Akuan Dan Kebenaran Ibubapa Pdf
Surat Kebenaran Ibu Bapa Ke Luar Negara Pdf
Surat Kebenaran Ibu Bapa Untuk Lawatan Pdf
Doc Contoh Surat Kebenaran Ibu Bapa Dol Juan Academia Edu
Surat Kebenaran Ibu Bapa Kpm Englshdaba
Doc Surat Kebenaran Lawatan Tldm Zatil Aqmar Mohammad Academia Edu
Surat Kebenaran Ibu Bapa Untuk Lawatan Pdf
Surat Kebenaran Ibu Bapa Lawatan Sambil Belajar Pdf
Surat Kebenaran Ibubapa Untuk Perkhemahan Pdf
